完整性测试对水侵入测试的条件要求
QA厂房、设施、设备生产管理
请教各位,完整性测试使用水侵入法,对测试时间及测试压力的要求有没有一定要求
2025-05-27 19:12 匿名     
3个回答

你说的是固体检漏的那个真空色水吧,按照YBB要求即可,目前审评没有风险,已经提交好几个。

2025-06-09 10:55 暗黑使者     
lywqub 2025-07-05 11:55

说的是filter integrity test, water intrusion

该方法适用于疏水性滤芯(疏水PTFE滤芯及疏水PVDF滤芯)。把水挤入疏水膜最大孔径的最小压差称为水侵入压力,进行水侵入测试时的压力要低于水侵入压力。在一定的压力下,测量挤入滤膜中的水流量。

滤芯润湿

①推荐使用滤芯制造商推荐的参考润湿流体、浸润时间和浸润压力。

②一般建议使用纯化水,建议在2000mbar压差下循环冲洗至少30min。浸润不充分的话,泡点值达不到。

测试时间

泡点的测试时间与起始压力和真实泡点值有关;

①前进流准备时间一般为5分钟,测试时间出厂默认是10分钟,可以设置较短测试时间;

②水侵入准备时间一般为5分钟,测试时间出厂默认是10分钟,可以设置较短测试时间;

检测用的气源

气源种类:

99.99%高纯氮气&压力稳定干净压缩空气

气源压力:

1.自检时的入气口压力需大于4000mbar  

2.测试时的入气口压力需大于测试压力加2000mbar   

3.一般来说,气源维持再5000mbar到6000mbar为佳

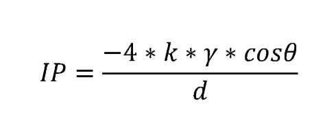
水侵入方程

其中:

k=形状校准因子

γ=表面张力

Θ=接触角

d=孔径

2025-05-29 10:01 Stark     

测试压力:1000–5000 mbar,低于滤芯气泡点压力。

测试时间:30分钟(平衡:15–30分钟(取决于滤芯材质和初始润湿状态)。+稳定:5–10分钟+测量阶段)。


要结合你的设备、你的滤器来制定啊。

2025-05-28 09:37 李平安